Intracellular pH

Intracellular pH plays an important modulating role in various cellular events, including cell growth, calcium regulation, enzymatic activity, receptor-mediated signal transduction, ion transport, endocytosis, chemotaxis, cell adhesion, and much more. With the help of pH-sensitive fluorescent indicators researchers are able to monitor intracellular pH fluctuations within live cells with greater sensitivity, spatial resolution and sampling density.

In general, a cell’s intracellular pH will differ amongst its various cellular compartments. For instance, the pH of the cytosol ranges between ∼6.8 to 7.4, while acidic organelles, such as lysosomes, have a pH ranging from ∼4.5 to 6.0. Therefore, when selecting a pH indicator it is important to match its pKa to the pH of the experimental system. We offer a variety of fluorescent pH indicators, pH indicator dextran-conjugates and other reagents for pH measurements in biological systems.

Near Neutral pH Measurement


BCECF, and its membrane-permeant AM ester, is the most widely used fluorescent pH indicator for measuring intracellular pH. It has a pKa of ∼6.98 which is ideal for measuring changes in cytosolic pH across various cell types, as well as, monitoring pH changes in near-neutral environments. BCECF has an absorption maximum at ∼504 nm, an isosbestic point at ∼440 nm and an emission maximum at ∼527 nm. Although BCECF exhibits dual-excitation ratiometric properties, several characteristics make ratiometric imaging less than optimal. The large distance separating its isosbestic point from its excitation maximum, its poor intracellular retention properties and its weak absorption at ∼440 nm all contribute to its poor signal-to-noise ratios. Moreover, BCECF is supplied as a complex mixture of isomers. This isomeric variability can lead to inconsistent measurements.

 

RatioWorks™ BCFL, A High Performance Alternative to BCECF

RatioWorks™ BCFL is a novel ratiometric indicator designed by AAT Bioquest to overcome the poor performance and isomeric variability concerning BCECF. Similar to BCECF, RatioWorks™ BCFL has a pKa ∼7, an absorption maximum at ∼ 503 nm and emission maximum at ∼528 nm. However, RatioWorks™ BCFL has an isosbestic point at ∼ 454 nm. This red-shift in its isosbestic is ideal for ratiometric imaging as it enables RatioWorks™ BCFL to generate significantly higher signal-to-noise ratios than BCECF. RatioWorks™ BCFL ratiometric imaging makes intracellular pH determination essentially independent of several variable factors, including dye concentration, path length, cellular leakage and photobleaching rate. RatioWorks™ BCFL is available as a membrane-impermeant acid, and as amine-reactive succinimidyl ester for labeling antibodies and proteins.

BCFL Excitation Spectra

BCFL Emission Spectra

Key Features of RatioWorks™ BCFL

  • Suitable for single-wavelength measurements and ratiometric imaging of intracellular pH
  • Higher signal-to-noise ratios than BCECF
  • Improved cellular retention for minimal background interference
  • Single isomer design for more consistent and reproducible results
  • Suitable for fluorescence microscopy, flow cytometry and fluorescence microplate-based assays
Figure 1. Standard curve created using RatioWorks™ BCFL, AM (Cat No. 21190) and BCECF,AM (Cat No. 21202). Hela cells were incubated with 5 µM RatioWorks™ BCFL, AM for 30 minutes 37°C. The Spexyte™ Intracellular pH Calibration Buffer Kit (Cat No. 21235) was used to clamp the intracellular pH with extracellular buffers at pH 4.5 to 8.5. Averages of 4 data points were plotted and a 4-parameter trend line was fitted to get the pH standard curve from 6 to 8.

pH 6.0

pH 8.5

Figure 2. Hela cells labeled with RatioWorks™ BCFL, AM. Hela cells were incubated with 5 µM of RatioWorks™ BCFL, AM (Cat No. 21190) for 30 minutes at 37 °C. Images were captured using a microscope FITC filter. Incubation of BCFL, AM solution with Hela cells showed a homogenous uptake of RatioWorks™ BCFL, AM and stained cell cytosol.

 

Table 1. Ratiometric fluorescent pH indicators for near-neutral pH environments.

Indicator Ex (nm) Em (nm) pKa Unit Size Cat No.
RatioWorks™ BCFL, AM 454, 503 528 ∼7 1 mg 21190
RatioWorks™ BCFL Acid 454, 503 528 ∼7 1 mg 21189
RatioWorks™ BCFL, SE 454, 503 528 ∼7 1 mg 21191
Cell Meter™ Fluorimetric Intracellular pH Assay Kit 430, 505 535 ∼7 1000 tests 21180
CytoFix™ BCECF, AM *Long term cellular pH tracker* 440, 504 527 ∼6.98 1 mg 21202
BCECF, AM 440, 504 527 ∼6.98 1 mg 21202
BCECF, AM *UltraPure grade* 440, 504 527 ∼6.98 20×50 µ 21203
BCECF acid *CAS#: 85138-49-4* 440, 504 527 ∼6.98 1 mg 21201

Acidic pH Measurements and Endocytosis


Acidotropic probes, such as PDMPO and AAT Bioquest Protonex™ dyes, possess unique properties that are ideal for measuring the pH of acidic organelles in live cells. As a weak base, these dyes are able to selectively accumulate inside lysosomes and other acidic compartments as a result of protonation. This protonation not only reduces background interference, but also activates its pH-dependent fluorescence.

 

RatioWorks™ PDMPO, A Dual-Excitation|Dual-Emission Ratiometric pH Indicator

RatioWorks™ PDMPO is characterized as an acidotropic dual-excitation and dual-emission pH probe. Its pKa ∼4.47 and unique pH-dependent fluorescence is an ideal combination for measuring pH in acidic organelles. At near neutral conditions RatioWorks™ PDMPO emits an intense blue fluorescence at ∼450 nm when illuminated at its excitation maximum (∼333 nm). In more acidic environments, however, this fluorescence quickly shifts to an intense yellow at ∼550 nm. RatioWorks™ PDMPO also exhibits a secondary excitation maximum at ∼386 nm. This enables intracellular pH measurement to be performed on violet laser-equipped flow cytometers. RatioWorks™ PDMPO has been successfully used as a tracer during biosilicification and has seen wide application in silica related studies. RatioWorks™ PDMPO is also available as an amine-reactive succinimidyl ester for labeling proteins and antibodies and conjugated to dextran for investigating endocytic pathways.

PDMPO Excitation Spectra

PDMPO Emission Spectra

Protonex™ Dyes, Acidotropic pH Indicators

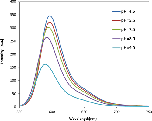
Protonex™ Green 500 and Protonex™ Red 600 are novel pH-sensitive fluorescent dyes developed by AAT Bioquest for monitoring acidic cell compartments, such as endosomes and lysosomes, with reduced signal variability and improved accuracy. In near-neutral environments Protonex™ dyes are essentially non-fluorescent. It is not until exposure to an acidic environment does the fluorescence intensities of Protonex™ dyes increase. The optimal excitation and emission maxima of Protonex™ Green 500 are ∼445 nm and ∼503 nm, respectively, while Protonex™ Red 600 excites at ∼575 nm and emits at ∼597 nm. Protonex™ dyes are available as an amine-reactive succinimidyl ester for labeling proteins and antibodies, as well as, conjugated to dextran or latex beads for investigating endocytic pathways.

Protonex™ Green 500 Emission

Protonex™ Red 600 Emission

Table 2. Ratiometric and single-wavelength fluorescent pH indicators for acidic pH environments.

Indicator Ex (nm) Em (nm) pKa Unit Size Cat No.
RatioWorks™ PDMPO, AM 333 450, 531 ∼4.47 1 mg 21204
RatioWorks™ PDMPO Dextran *10,000 MW* 333 450, 531 ∼4.47 1 mg 21211
RatioWorks™ PDMPO, SE 333 450, 531 ∼4.47 1 mg 21210
RatioWorks™ PDMPO, SE 333 450, 531 ∼4.47 1 mg 21210
Protonex™ Green 500 445 503 ∼6.5 1 mg 21215
Protonex™ Green 500 WS 445 503 ∼6.5 1 mg 21218
Protonex™ Green 500, SE 445 503 ∼6.5 1 mg 21216
Protonex™ Green 500 Dextran 445 503 ∼6.5 1 mg 21217
Protonex™ Red 600 575 597 ∼6.5 1 mg 21207
Protonex™ Red 600, SE 575 597 ∼6.5 1 mg 21208
Protonex™ Red 600-Latex Bead Conjugate 575 597 ∼6.5 1 mg 21209
Figure 3. Phagocytosis was examined in RAW 264.7 cells by Protonex™ Red 600-Latex Bead Conjugate (Cat No. 21209). RAW 264.7 cells were incubated with Protonex™ 600 Latex Beads in growth medium for 4 hours. CytoTrace™ Green CMFDA (Cat No. 22017) was used to track live cells. The image (20X) was taken using a Keyence Fluorescence Microscope.

Key Features of Protonex™ dyes

  • Protonex™ Green 500 and Protonex™ Red 600 exhibit a pKa ∼6.5
  • Protonex™ dyes are non-fluorescent at neutral pH and increase in fluorescence emission intensity with acidification
  • Successful at tracking internalization in live cells and monitoring phagocytotic and endocytotic pathways
  • Minimal dye fluorescence at neutral pH eliminates the need for wash steps
  • Suitable for multiplex analysis with other fluorescent dyes and conjugates
  • For use with fluorescence microscope, flow cytometer, fluorometer and high content instruments

SUPPORT

outstanding technical support

PRODUCT

we offer a full product guarantee

DELIVERY

we offer free delivery to UK universities and non profit organisations